Comparison of the Gaia-CRF3 and planetary ephemerides via asteroid observations

Orientation offsets (~10 mas) from asteroid AL residual fits.

Abstract

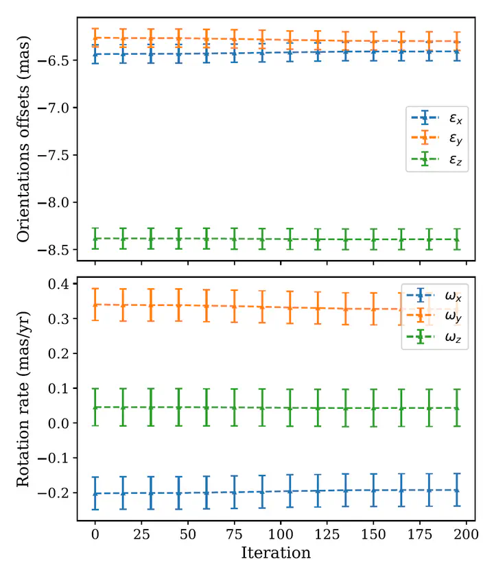
We compare the optical Gaia celestial reference frame (Gaia-CRF3) with the dynamical reference frame defined by JPL’s planetary ephemerides using high-precision Gaia asteroid astrometry. From a cleaned sample of 1001 well-observed asteroids, least-squares fits to along-scan residuals yield orientation offsets of order ~10 mas and rotation rates < 0.5 mas yr⁻¹ in equatorial coordinates. Robustness checks (iterative transit rejection; model/sample variants) confirm the signal. When Gaia observations are included in orbit determination, the orientation offset drops to ~0.2 mas, indicating that historical asteroid astrometry (and catalog systematics therein) largely drives the larger offsets seen without Gaia.

Publication
Astronomy & Astrophysics, 701, A15 (2025)

Highlights

  • 1001-asteroid Gaia sample; weighted fits in along-scan (AL) direction.
  • Orientation offsets ≈ (−6.4, −6.3, −8.5) mas; rotation rates |ω| < 0.5 mas yr⁻¹.
  • Incorporating Gaia in orbit determination reduces orientation offset to ≈ 0.2 mas.

Takeaway: Gaia asteroid astrometry sharply tightens the dynamical–kinematic frame tie; larger offsets mainly trace systematics in historical asteroid observations.